【摘要】随着新能源汽车动力电池技术的持续迭代,电池热管理系统的控制性能与可靠性已成为制约新能源汽车续航能力及安全性能的核心因素。电动水泵作为热管理系统的关键执行部件,其驱动控制技术直接决定热管理系统的运行效能与稳定性。本文聚焦电动水泵驱动芯片这一核心器件,结合实际应用方案,系统剖析其技术需求与选型逻辑,重点研究车规级驱动芯片的可靠性、温度适应范围、控制精度、集成度及控制算法等关键指标,对比全集成、预驱 + 分离功率器件、‘ ?MCU+ ”三类主流架构方案的技术优劣,验证无传感器磁场定向控制算法的应用价值,并通过典型芯片案例分析技术落地成效。研究结果表明:高集成度单芯片方案已成为当前主流选型, -40~150°C 宽温工作能力、完善的保护机制及低功耗特性是驱动芯片的核心性能要求;算法硬件化与智能化自适应控制将是未来技术演进的核心方向。本文研究可为动力电池电动水泵驱动芯片的选型设计与技术创新提供参考。
【摘要】随着中国电动汽车产业的快速普及与规模化发展,其电磁辐射骚扰问题日益凸显,且相较于传统燃油车更为突出,直接影响车辆运行的安全性与可靠性。为明确电动汽车电磁辐射骚扰的主要来源,本研究采用文献调研与实验室测试相结合的技术手段,对电动汽车关键电子器件及核心系统开展电磁兼容性(Electromagnetic Compatibility,EMC)专项研究与系统测试分析,进而提出针对性强、可落地的电磁辐射骚扰控制措施。研究结果可为电动汽车EMC设计优化提供可靠技术依据,对降低电磁辐射对车辆自身及周边环境的不利影响具有重要意义。
【摘要】为解决纯电动、氢燃料电池等新能源商用车续航里程焦虑及能量回收效率偏低的问题,本文结合车辆上下坡滑行特性与氢燃料电池电堆运行现状,提出一种基于预见性巡航(Predictive Cruise Control,PCC)的能量回收控制方法。该方法依托智能网联产品获取前方道路坡度、长度等信息,经高级驾驶辅助系统接口规范(Advanced Driver Assistance Systems Interface Specifications,ADASIS) Δv2 协议传输至整车控制器(VehicleControlUnit,VCU),由VCU综合车辆运行状态调整进出坡速度,同步优化氢燃料电池电堆功率,充分利用惯性冲坡,降低能耗。漠河多陡坡路段试验验证表明,该方法可显著提升能量回收效率、降低整车能耗,为新能源商用车续航提升提供技术支撑。
【摘要】随着汽车“新四化”(电动化、智能化、网联化、共享化)的发展,汽车试验开发技术正面临全新挑战。本文基于汽车试验开发的意义,从传统燃油车试验方法到新能源汽车试验技术的变革,系统分析汽车试验开发技术的发展路径,重点探讨三电系统(电池、电机、电控)试验和安全性试验等核心领域的技术要点。针对新能源汽车和智能驾驶技术带来的测试变革,本文提出应对策略。研究结果表明,虚拟仿真技术、智能测试装备和大数据平台的协同优化是试验技术发展的关键方向,试验开发体系的自动化、智能化和数字化将助力国内汽车行业在全球激烈竞争中取得领先地位。
【摘要】针对当前新能源汽车驱动电机能效测评方法复杂、成本高的问题,本研究提出一种简化的测评指标框架。基于《中国汽车能效分级测试评价规程第1部分:纯电动乘用车》,通过优化转速-转矩测试点选取规则,将测试点数量减少约 30% ,并引入线性插值算法补全效率数据。以一款纯电动乘用车电机为案例进行验证,简化方法计算的高效区占比与原标准方法结果的偏差小于 5% ,同时测试效率提升约 40% 。该方法为电机能效的快速评估与产品优化提供了有效工具,契合行业发展需求。
【摘要】高压系统绝缘故障是威胁新能源汽车安全与用户体验的核心问题。传统被动式售后模式难以应对其突发性与复杂性,亟需向数据驱动的主动服务转型。文章聚焦于绝缘故障预警这一高价值场景,系统构建了集数据采集、实时分析、智能决策与闭环处置于一体的售后大数据平台。创新性地采用规则与机器学习融合的预警模型,实际应用表明,该模型预警准确率达 92.5% ,故障发现时间平均提前14天。本文详细阐述平台数据层、计算层、分析层与应用层架构,并重点研究融合刚性规则与机器学习算法的预警模型构建路径;通过系统论述从预警发现、远程诊断到决策推送的业务闭环,验证该平台在实现故障早期识别、精准干预及流程优化方面的有效性与实践价值,为整车企业构建智能售后体系提供关键方法论与实施范例。
【摘要】随着新能源汽车的普及,用户对动力电池快充以及安全性能的要求逐步提高。相较传统方形电池,大圆柱电池凭借结构优势逐渐成为电池竞争的主力军。文章以大圆柱PACK为研究对象,基于现有行业技术资料,分析PACK和热管理技术的发展现状、核心技术、主流企业技术特点及存在的问题。
【摘要】随着中国新能源汽车产业规模持续扩大,动力电池大规模退役已成为当前产业发展亟待解决的关键问题。构建高效、绿色的动力电池循环生态体系,已成为保障国家战略资源安全、降低环境污染风险、推动新能源汽车产业绿色转型的关键举措。文章基于全生命周期理论,系统解构新能源汽车动力电池循环生态的构成要素与运行机制,结合2025年行业新态势与典型案例,揭示其在技术、市场、政策层面的核心问题与矛盾。在此基础上,融合前沿技术趋势与区域实践创新,提出以“绿色生态设计(GreenDesign)—智慧运营管理(SmartManagement)—协同价值共创(SynergisticValue)”为核心的“GSS”三维发展路径,为推动中国动力电池循环生态的高质量、可持续发展提供理论参考与实践指导。
【摘要】文章阐述模型预测控制(ModelPredictiveControl,MPC)在低速起步、急加速和高速巡航等工况下的优势,介绍该技术在提高系统响应速度、转矩平稳性和控制精度方面的效果。结果表明,MPC控制显著提升了电机系统的性能,尤其在动态响应与精度控制方面具有明显优势。
【摘要】新能源汽车电机的驱动性能优劣直接关联整车动力与经济表现。当前系统在高速运行效率、宽转速区间扭矩输出以及热量控制方面存在明显短板,这些短板限制了整车性能的进一步提升。针对上述局限,本文从电机电磁构造、逆变器控制策略、热量管理方案及传动协调四个层面开展优化设计。本研究借助电磁场仿真和多物理场耦合分析实现参数精确调校,并且搭建试验平台对方案进行实测验证,结果显示系统最高效率提高了 3.2% 、高效工作区间拓宽了 15% 、百公里耗电量减少 8.7% 、续航里程增加 45km ,为驱动系统的高性能化探索出一条可行的技术路径。
【摘要】本文聚焦新能源汽车动力电池热管理系统(Thermal Management System,TMS),梳理散热容量不足、质量与能耗压力偏大以及热模型精度有限等问题。在此基础上提出冷却结构与流道布局优化、轻量化与集成化设计以及模型驱动的系统架构,设计高热负荷温度控制、节能运行策略和协同诊断方法,形成一套面向工程应用的热管理优化路径。该路径能够在大倍率充放电工况中抑制电芯温差和峰值温度,降低冷却能耗,并提升电池寿命与整车续航表现。
【摘要】随着新能源汽车保有量的快速增长,动力电池荷电状态(State of Charge,SOC)的精确估算已成为电池管理系统(Batery Management System,BMS)的核心技术瓶颈。传统估算法在复杂工况波动、宽温域环境及电池老化场景中易出现累积误差与精度衰减,直接影响车辆续航里程可信度及电池安全边界控制。因此,本文探索构建具备强环境适应性的SOC估算模型,设计高低温台架测试与实车验证。研究证实,优化策略能有效提升极端工况下SOC估算的稳定性,显著改善电量预警的可靠性。
【摘要】随着自动驾驶技术的快速发展,L3及以上高阶智能驾驶功能对整车系统的功能安全性提出了更高要求。本文基于ISO26262标准,探讨自动驾驶车型低压供电系统的功能安全开发流程。本文采用V型开发模型,涵盖危害分析HARA、功能安全需求提取、系统拓扑设计、失效模式分析FMEA/FTA以及软硬件实现与验证,构建完整开发框架。针对高阶自动驾驶(如HWP/TJP)的供电需求,提出冗余供电架构,为自动驾驶供电安全提供系统化方法论,对工程实践具有指导意义。
【摘要】随着智能驾驶技术的快速发展,车辆主动安全系统成为汽车研发的重要方向之一。激光雷达因其高精度测距和强环境感知能力,被广泛应用于自动电子制动系统中。文章以比亚迪汽车为工程研究对象,采用“多源融合感知—分层控制决策一动态制动执行”技术路径,重点从感知数据融合、控制算法优化、精细化制动逻辑设计及测试验证体系构建四个方面展开研究。研究结果表明,基于激光雷达的多传感器融合与分层控制策略能够显著提升系统的场景适应能力和制动响应速度,为智能驾驶条件下的主动安全控制提供可工程化落地的解决方案。
【摘要】汽车智能氧吧是一种用于汽车安全及健康应用的智能系统。该系统通过检测乘员舱空气质量状况,依据检测结果创造富含氧气的环境,有助于提高人体血氧饱和度,进而增强细胞活力与机体免疫力,抵御各类疾病。整车将血氧检测指环、空气质量检测设备、制氧供氧系统与整车原有结构进行深度融合,通过整车氧气流场分布仿真分析,明确并制定整车集成策略,为整车乘员打造更舒适的智能氧吧环境。该系统可在长途旅行、上班通勤、高原地区行驶、特殊人群乘车、紧急救援等需氧场景下精准供氧,为乘员的身体健康保驾护航。
【摘要】随着智能驾驶技术快速发展,车载摄像头的目标识别精度与可靠性直接影响行车安全,而光照的突变、目标遮挡、恶劣天气等因素都会对识别精度造成干扰。深度学习模型具备高表征能力,因此,文章针对深度学习算法在车载摄像头目标识别系统中的部署优化展开探讨,建立轻量化部署方案,结合参数量化、层融合策略,旨在为构建全天候、低延时的汽车环境感知系统提供参考,推动智能驾驶技术的落地。
【摘要】本文聚焦智能车机产品互联互通测试技术,阐述智能车机互联互通机制、测试环境及核心测试技术,结合用户驾驶与乘车场景,围绕车机交互性、通信稳定性、互联兼容性、语音交互性四大关键因素制定测试指标,旨在提升用户体验与行车安全性,为评估各类智能车机产品在车机互联市场的竞争力提供技术支撑。
【摘要】针对混合交通流环境中动态障碍物行为不确定性对无人集卡运行效率与安全构成的挑战,文章提出一种融合车路协同感知与分布式决策的路径规划方法。系统架构集成车载多源传感器(环境感知、高精度定位、V2X通信)与路侧感知单元,通过数据融合构建实时交通环境态势。该方法的核心首先在于构建融合多模态数据的意图决策树模型,对周边车辆、行人等自由运动目标的行驶意图进行识别与预测。其次,设计一种分布式死锁检测与预约框架,通过车辆间协同有效识别并化解潜在的路径冲突。在此基础上,该方法将全局任务级路线规划与局部实时轨迹规划相结合:根据上层运营指令生成全局线路,并依据实时环境感知、意图预测及死锁协调结果,动态优化局部行驶轨迹。仿真与实际场景测试表明,该方法能显著提升无人集卡在复杂混合交通流中的通行效率与行驶安全性。
【摘要】文章提出一种激光雷达(LiDAR)和单目相机融合的3D目标检测算法。首先,对异构数据在空间、时间上的偏差建立基于联合标定的坐标统一模型以及硬触发时间同步机制;其次,设计了带有注意力机制的特征级融合网络,采用双流特征提取支路分别得到图像语义特征和点云空间几何特征,加入跨模态注意力模块自适应地加权融合特征,解决稀疏点云和稠密图像在特征空间难以对齐的问题。
【摘要】为满足智能交通系统对交通流数据实时、精确获取的迫切需求,文章构建并验证一套高效、稳健的视频分析车流量统计方案。系统面向固定监控场景,采用协同式技术路径:以背景差分法为核心运动检测手段,创新性地将自适应背景建模、更新与车辆阴影检测抑制整合于HSV色彩空间中统一完成。该方法避免了算法执行过程中频繁的色彩空间转换,大幅提升了运行效率。系统通过对前景目标进行形态学优化,并借助虚拟检测线区域统计法实现车辆计数。在涵盖普通公路与高速公路的多场景实测中,系统车流量统计平均准确率高于 96% ,其中普通公路环境下可达 97% ,体现了该方法在实际工程应用中的可行性与优越性,为智能交通感知终端提供了实用化的技术支撑。
【摘要】本文以人机语用学与跨模态融合理论为核心框架,遵循智能体“感知—推理一决策”全链路优化逻辑,从多模态感知融合、跨模态响应协同、个性化体验适配三大维度出发,构建“三维九项”语用适配体系。通过理论与场景化案例的结合,系统剖析各适配路径的实施逻辑与应用效果,为车企打造“语境精准、交互自然、满足跨文化多场景需求”的英语语音交互系统提供可落地方案,助力智能网联汽车突破单一模态交互瓶颈,提升全球化场景下的用户信任度与使用体验。
【摘要】自动泊车系统安全可靠的基础是障碍物感知融合的实时性能。现有多传感器系统存在数据处理时延累积、算法负担过重、架构效率低下等使系统响应变慢,甚至做出错误的决策。文章对多传感器时间同步难、复杂环境下计算资源紧张、传统融合架构效率低等问题进行分析,给出时间戳对齐和异步处理优化、轻量化算法和边缘计算部署、分布式架构设计和并行处理等改进措施,将系统时延控制在 100ms 内,感知帧率达到29FPS,定位精度控制在 20cm 内,提升自动泊车系统性能和用户体验。
【摘要】文章深入探究面向智能网联汽车的BEV感知技术及其发展趋势。BEV感知技术通过构建车辆周围环境鸟瞰视图,融合多模态传感器数据,为自动驾驶提供基础环境信息。本文分析了多传感器融合架构、视角转换与深度估计、时序融合与动态场景理解等关键技术现状,并展望高精度三维重建、多车协同感知与“车路云一体化”融合、轻量化模型与边缘计算协同优化等发展趋势。
【摘要】本文针对基于第五代移动通信技术(5th Generation Mobile Communication Technology,5G)的智能网联汽车机电一体化控制系统开展研究,明确系统整体架构、功能模块划分及核心控制策略。依托5G技术毫秒级时延、千兆级传输速率及海量接入优势,实现5G与机电一体化控制系统的深度融合,有效提升车载感知与执行单元的数据处理效能,达成车辆与路、车、人、云的高效协同,为智能网联汽车的稳定运行提供技术支撑。
【摘要】在汽车智能化转型过程中,自动驾驶环境感知(依赖计算机视觉)是车辆安全决策的核心。文章对汽车复杂行驶场景下的计算机视觉感知算法进行优化:提出动态特征提取策略解决异形目标漏检,设计轻量化网络以均衡语义分割的精度和实时性,构建“视觉 + 雷达”的融合框架,来弥补极端场景下的感知缺陷。经试验测试,优化的算法性能要优于YOLOv5、DeepLabv3 + 等主流方法,能支撑自动驾驶感知系统的工程化应用,可以提高行车的安全性,加快推动自动驾驶的商业化落地,为推进自动驾驶产业化提供实用的技术方案。
【摘要】车载语音交互小词汇量语音识别常用动态时间规整(Dynamic TimeWarping,DTW)算法,但该算法参数固定,难以应对语速变化与噪声干扰。文章提出自适应DTW(A-DTW)框架,经变速、多噪声孤立词语库试验验证,其复杂场景识别率较传统DTW及其主流改进算法提升3.5\~8.7个百分点,且计算开销可控,为资源受限环境的稳定语音识别提供有效方案。
【摘要】文章通过定量对比分析月度新增车桩比和公共类充电设施的充电消耗量等指标,评估新能源汽车与公共充电基础设施的协同发展情况,以期为政策制定和产业规划提供参考。
【摘要】随着汽车向电动化、高压化、智能化转型,热管理系统对冷却液的性能要求持续升级,相关技术创新与专利布局成为行业竞争核心。文章以汽车冷却液相关专利为研究对象,基于专利检索数据,从专利申请趋势、区域分布、申请人格局、核心技术主题等维度展开系统分析,重点剖析绿色环保配方、纳米复合改性、智能监测型冷却液等关键技术领域的专利成果,梳理国内外头部企业的专利布局策略。结合当前环保法规升级与产业技术转型需求,识别冷却液专利技术发展趋势,梳理行业面临的专利风险,为国内企业优化专利布局、突破技术壁垒、提升核心竞争力提供参考。
【摘要】机电一体化技术通过整合机械传动、电子控制与信息系统,为解决汽车换挡平顺性、响应速度与多环境适应性等问题提供了技术路径。然而,控制系统在持续振动等复杂工况下的可靠性与耐久性还有待改进。因此,本文通过理论分析结合实证研究,探讨机电一体化技术在汽车变速器控制系统中的架构设计、控制算法优化及工程验证方法,旨在构建可靠的智能化变速器控制体系,为汽车动力系统升级提供方法参考。
【摘要】文章系统分析了汽车技术从传统机电一体化向“新四化”(电动化、智能化、网联化、共享化)演进的技术路径。本文首先阐述传统机电一体化技术的历史贡献与时代局限,然后深入探讨“新四化”各核心技术的突破性进展,并从架构逻辑、性能指标、产业生态等维度对比两种技术范式的差异。研究表明,这一转型不仅是技术升级,更是对整个汽车产业生态和价值链的重构。最后,本文总结当前面临的技术挑战和产业发展瓶颈,并展望未来发展趋势。
【摘要】在全球能源转型与“双碳”目标推动下,新能源汽车保有量快速增长,维修体系面临新挑战。文章聚焦高压安全、动力电池、电驱电控系统、专用工具及信息化平台等核心环节,分析当前维修技术存在的专业人才短缺、标准滞后、设备适配不足及安全风险突出等问题,并从技术演进、人才培养和制度建设三方面提出优化路径,为构建安全、高效、标准化的新能源汽车维修体系提供理论参考,助力新能源汽车产业高质量发展。
【摘要】中国汽车智能化发展促使低压线束体积持续增大,用户对车内空间的需求与线束布局之间的矛盾日益显著。在汽车功能安全体系中,线束可靠性占据关键地位。本文系统探讨汽车低压线束的设计规范,从部件选型、三维布置、特殊场景适配等多维度展开分析,提出针对性优化策略,旨在全面提升线束可靠性、降低故障率,同时兼顾装配可行性与成本控制,为汽车低压线束设计提供实践参考。
【摘要】传统商用车在怠速状态下遇到特殊工况时无法自适应调整车辆怠速,这对怠速状态下的运行稳定性以及发动机的动态响应性能有着重大影响。文章提出一种针对商用车的怠速自适应控制方法,该方法旨在解决在某些特殊工况下单一固定怠速无法满足整车稳定性和响应性能需求的问题。
【摘要】电路中需要用到各种各样的端子,通常使用螺栓将端子与铜排连接在一起,但是螺栓在自转旋紧的过程中,由于螺帽和端子之间存在摩擦力,会带动端子一起转动,不仅影响了端子的固定,而且不便于操作。为了保证线束孔式端子的连接可靠性,防止在扭矩作用下发生偏斜,避免在振动等恶劣环境下出现错位与损坏,需增设防转功能及对应结构。本文针对汽车线束孔式端子的防转设计展开研究,详细阐述其分类及应用,为相关设计与研发提供参考。
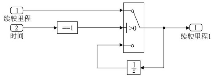
【摘要】在商用车嵌入式控制系统软件开发中,计算误差是导致功能异常的典型问题,其根源常与时序设计与硬件环境的不匹配以及数据更新逻辑缺陷相关。文章以商用车液量低报警系统中的续驶里程计算为例,从理论层面剖析计算误差的产生机制,提出有效时间范围优化方案。经仿真与实车验证,该方案可消除计算误差,使报警逻辑恢复正常,为同类嵌入式控制系统软件开发中规避计算误差,提供从问题剖析到方案落地的理论参考与实践范式,助力提升嵌入式系统的功能可靠性与计算精度。
【摘要】为解决长时间驾驶引发的腰背部肌肉疲劳问题,弥补汽车按摩座椅干预效果多模态实证研究的不足,本研究融合红外热成像(Infrared Thermography,IRT)、表面肌电(Surface Electromyography,sEMG)技术与主观评价量表,构建生理-心理双维度综合评价体系,通过随机对照双盲试验系统验证其干预效能。结果表明,按摩干预可显著提升腰背部皮肤温度( P<0.05 )改善局部微循环,有效降低受试者主观疲劳感( P<0.05 ),并显著优化肌肉电生理状态(近似熵指标 P<0.05 )。本研究明确证实了汽车按摩座椅缓解腰背部肌肉疲劳的有效性,为汽车健康座舱功能的科学评价提供了可行新范式。
【摘要】文章提出基于改进型YOLOv11的深度学习图像诊断方法,通过构建接触不良图像诊断模型,提升对触点烧蚀、氧化腐蚀及机械松动等典型缺陷的检测能力。试验表明,模型在 640×640 分辨率下实现 97.2% 的 mAP@0.5 ,推理速度达150FPS,且在 0.5mm 级微小缺陷检测中召回率达 97.8% 。此类方法通过轻量化设计,参数量降低 32% ,以适配嵌入式设备,满足工业产线实时检测需求。
【摘要】针对某市机动车检测量增长与半联机流程效率瓶颈,本文设计“边缘一平台一应用”三层自动化检测系统:以预约驱动的滚动调度优化工位分配;通过OPCUA/安全适配器连接多类检测设备,实现多源自动采集与一致性校核;构建统一数据模型与 NTP+PTP 授时机制,将法规条款参数化为DSL规则并联动在线稽核。两站30日对照结果显示:单车检测时长降至 12.1min ( -34.9% ),车道吞吐升至16.3辆 ( +45.5% ),一次通过率提升至 86.9% ( +8.5pp ),人工干预降至0.31次/车( -63.1% );系统可用性 99.72% ,通过等保二级内部评估。该方案无需大改现有设备,显著提升效率与可追溯性,具备推广价值。
【摘要】基于能量守恒与数据融合,本文构建燃油消耗预测模型,采用特征降维、参数识别与分段拟合,以兼顾精度与实时性。试验结果显示,该方法提高预测准确度并降低计算负荷,可为车载节能控制与智能驾驶提供技术支撑。
【摘要】现代汽车底盘工程中,悬挂系统是连接车身和路面之间的重要纽带,其性能直接影响车辆的行驶平顺性、操纵稳定性。传统依靠经验公式或者试凑法来确定参数的方式,在复杂的解空间中很难找到全局最优解,从而导致车辆动态性能的潜力无法发挥。因此,文章针对数学优化算法在汽车悬挂弹簧参数匹配中的应用机理、寻优策略和工程适配性进行研究,以期给汽车底盘的正向开发和精细化调校提供理论依据和技术范式。
【摘要】汽车电子助力转向(ElectricPower Stering,EPS)系统是现代汽车转向技术的核心,具有高效、节能、环保、灵活可调等优点,逐渐取代了传统液压助力转向系统,成为汽车转向系统的主流配置。文章论述汽车电子助力转向EPS系统自动化控制对提高驾驶体验、保证行车安全、促进汽车智能化发展的作用,分析EPS 系统自动化控制的具体途径,即传感器技术、控制算法、执行机构的优化,并对助力控制、回正控制、阻尼控制、智能控制等进行详细论述,以期为EPS系统自动化控制提供理论依据和实践指导,促进汽车行业技术的发展。
【摘要】雨天行车时,清晰的前方视野是保障安全驾驶的关键因素,传统的雨刮系统无法实时、精准地根据雨量大小变化自动调整刮刷频率,存在安全隐患。因此,文章针对如何设计高性能的智能雨刮控制器展开探讨,提出一种基于模糊PID算法的控制方案。测试数据表明,所提出的模糊PID控制器在感应精度、响应速度、刮刷频率控制精度上全面优于传统固定参数PID控制器,为提升智能雨刮系统的环境适应性与运行稳定性提供技术方案参考。
【摘要】汽车电子电气架构向域集中式、区域控制演进,软件定义汽车已经成为行业变革的核心驱动力。车身控制器 BCM是车身电器逻辑控制的核心节点,其集成的功能日益复杂,由原来的灯光、门锁控制扩展到现在的网关路由、能量管理等多方面的工作。然而,传统嵌入式软件开发模式中应用逻辑和底层硬件高度耦合,造成软件代码复用率低、移植困难、维护成本呈指数级上升等缺点,严重制约了敏捷开发和功能迭代效率。因此,文章将从AUTOSAR标准体系出发,对车身控制器的软件架构设计范式进行分析,探讨分层解耦机制下模块划分和通信策略,为车身电子系统的标准化开发提供理论参考和工程实践路径,从而提高软件资产的可复用性和开发效率。
【摘要】本文使用UG对板簧进行建模后,基于ANSYSWorkbench对模型进行静强度分析,分别得到该构型下的最大应力、应力分布、变形分布情况及模态频率。随着施加在中间位置处的位移逐步增加,该构型下的等效应力、总变形逐步增加,且在板簧上体现为中间的变形与应力最大,向两侧先减少后增加再减少,板簧整体最大变形不超过施加的位移量。
【摘要】随着汽车发动机向高热效率、低排放方向发展,气门系统所承受的热机负荷越来越大,传统的气门系统设计已经不能满足现代工况对耐磨性、抗蠕变性的要求。文章主要研究气门系统在极端环境下的失效问题,分析其失效机理,并从结构设计和材料选择两个方面展开分析。通过对气门本体、弹簧、座圈结构优化途径以及进排气门不同的先进材料匹配策略的分析,以解决气门烧蚀、磨损、断裂等问题。本文旨在通过结构创新与材料改性的联合攻关,为创建高可靠、长寿命的发动机配气机构提供理论支撑和工程操作引领。
【摘要】文章聚焦力学、热力学及电学原理在制动系统、发动机工况、电气控制等维修场景中的具体作用机制,旨在通过理论指导提升维修作业的科学性与可靠性。
【摘要】文章从源头抑制、传播路径阻断及系统优化三个核心维度开展研究,分析汽车电气系统电磁干扰抑制技术,以期为汽车电气系统电磁兼容性能提升提供技术支撑。
【摘要】文章针对汽车智能化、电动化发展背景下电子电路系统故障隐匿性、耦合性增强的问题,探究信号处理与深度学习技术的融合应用路径。
【摘要】随着汽车工业向节能减排、高效清洁方向转型,燃油喷射系统的雾化特性直接影响发动机的燃烧效率、排放性能及动力输出。文章针对当前汽车燃油喷射系统雾化过程中存在的粒径不均、喷雾锥角不合理、穿透距离不适配等问题,从理论层面剖析燃油雾化的核心机理,结合现有喷射系统的结构特点,提出基于喷油器结构优化、喷射参数调控及辅助雾化技术的多维度改进方案,旨在为提升汽车燃油喷射系统性能、推动发动机高效清洁发展提供理论支撑与技术参考。
【摘要】研究以 α∝α,α∈α. 二羟基聚二甲基硅氧烷为基胶(107胶),纳米碳酸钙为填料,复配交联剂、偶联剂、催化剂等功能助剂,旨在研发一款硫化速度快、固化深度理想的脱醇型工程用硅酮胶。本文系统研究107基胶、交联剂、偶联剂以及固化促进剂对硅酮胶固化性能的影响。
【摘要】针对当前汽车车身结构焊接工艺品质稳定性差、生产效率低等问题,文章开展焊接工艺优化设计与品质控制体系构建研究。本文利用有限元分析优化焊接参数,合理化设计焊接路径与顺序,研究多材料连接界面的工艺适应性;在品质控制上开发出一个集实时监测、数据采集与分析、品质预警为一体的焊接品质在线监控系统并且以焊接工艺数据库为中心构建起品质追溯体系。
【摘要】文章探讨过载工况下线束热特性变化及绝缘层老化机理,通过温升试验和微观表征,找出热积累与绝缘材料劣化之间的内在联系,为汽车线束抗过载设计、热管理、寿命评价提供理论依据和试验参考。
【摘要】随着汽车电动化、智能化发展,连接器作为整车电气系统的重要基础元件,其可靠性、性能与环境适应性面临更高要求。文章结合国内外相关标准,构建一套覆盖电气性能、机械性能、环境适应性与高速信号完整性的综合试验验证体系。研究结果表明,通过系统的测试与验证,可有效提升连接器在复杂车载环境下的可靠性,为智能电动汽车连接系统的轻量化、集成化与高质量发展提供技术支持。
【摘要】随着汽车工业加速向电动化、轻量化、个性化定制方向发展,整车产品生命周期越来越短,市场对多车型混流生产的响应速度要求越来越高。汽车覆盖件是决定车身外观品质和气动性能的重要部件,冲压生产环节一直存在高精度成形稳定性与生产柔性之间的结构矛盾。因此,文章就冲压自动化生产线的系统级规划设计逻辑,以及已有产线柔性化改造策略展开研究,以期为汽车制造装备数字化、智能化建设提供新思路。
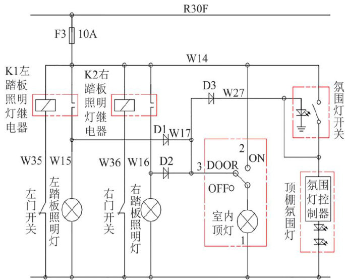
【摘要】针对某型消防车乘员室内顶灯开关在不同挡位切换时氛围灯出现瞬间闪烁的故障,开展系统分析与改进研究。该消防车LED氛围灯驱动电路未采用恒流驱动方案,而是选用电阻降压结合电容滤波稳压的设计形式。本文通过对该电路设计及故障现象的研究,提出此类电气故障的排查思路与改进建议。
【摘要】本研究梳理新能源汽车充电接口故障类型、成因及维修技术,通过实证分析归纳出物理损伤、电气故障、通信协议异常三大故障模式,并提出整合视觉检测、电气测量及诊断仪分析的标准化诊断流程。案例验证表明,科学维修策略可提升修复效率并降低成本。研究同时探讨液冷超充、无线充电等技术趋势,强调标准化与智能化是行业发展的关键方向,为充电接口维修提供技术参考,助力车辆安全运行及行业技术进步。
【摘要】随着人工智能、物联网、5G等技术的快速发展,智能网联汽车正逐步成为物流运输行业的重要发展方向。末端物流无人车作为“新基建”背景下智慧城配的重要载体,在封闭园区、校园、社区等场景已批量商用。阿里“小蛮驴”作为典型的无人驾驶低速物流配送车,其稳定运行对配送效率至关重要。本文以“小蛮驴”为例,介绍智能物流车的核心组成部分及关键部件的工作原理;分类梳理激光雷达、视觉传感器、驱动系统、货柜等常见故障类型及成因;详细阐述故障诊断的基本流程,结合具体案例说明故障排查的实操方法;最后总结智能物流车故障诊断的关键要点,为相关维修人员提供技术参考,保障智能物流车的可靠运行。
【摘要】本文以2023款宝马535Le(G38)汽车左前门玻璃无法下降故障为研究对象,通过故障现象验证与诊断,读取030035故障码;在对左前门车窗升降机端LIN线电压、BDC(A258)主域控制器LIN线输出电压、左前门车窗升降机与BDC(A258)主域控制器间的LIN线等进行检查后,最终确认故障是左前门把手的导线插头进水锈蚀所致。经清洁与处理锈蚀部位后,故障得到排除。研究表明,基于电路原理的分步检测方法不仅能快速定位复杂LIN总线故障,而且也提示维修人员在查阅电路图之外,应重视实车验证,以避免因资料不全导致的误判。
【摘要】针对新能源汽车电动驱动系统,文章梳理驱动电机、控制器等关键部件故障机理,研究其维护方法,以期为新能源汽车维护管理奠定理论基础。
【摘要】现代汽车工业正处在从机械驱动向软件定义汽车(SDV)转型的关键节点,车载电器设备的数量和种类呈指数级增长,使得汽车线束系统成为全车成本占比最高、质量最大、布线最复杂的零部件之一。作为整车电气系统的枢纽,线束担负着低压、高压电源的传输任务,还负责高速通信网络的数据流转。然而,线束一般敷设在车身钣金内部或者底盘下面,工作环境非常恶劣,长期受到机械磨损、化学腐蚀、热老化、电流过载的侵害。因此,本研究将深入探讨汽车电器系统线束故障检测与防护措施,探索适应智能网联汽车高可靠性需求的线束系统安全保障体系。
【摘要】随着汽车产业向智能化、电动化转型,车载电气系统日趋复杂,其故障类型也呈现出隐蔽性、关联性强的特征,传统人工诊断方式已难以满足现代汽车维修的精准性与时效性需求。文章深入探讨电子检测技术的应用场景与效率提升路径,该研究不仅能解决维修实践中“诊断难、耗时长”的痛点,更对推动汽车维修行业标准化、智能化发展具有重要现实意义。
【摘要】新能源汽车高压系统故障易引发安全事故,现有维修技术多依赖经验判断,缺乏系统性解决方案。本文创新性地提出融合“交流信号注入 + 非接触电场检测”的动态绝缘监测方法,以及多模态时频分析与3层CNN的诊断体系,并构建标准化维修流程。通过实车案例验证,该方案能够实现维修过程零触电,为高压系统故障诊断提供有效技术方案,也为行业接口标准化提供参考依据。
【摘要】文章聚焦车载充电机关键部件故障机理与维修工艺展开研究,阐述车载充电机的工作原理与关键部件构成,剖析变压器、功率管、控制器和滤波电容等关键部件的故障机理,并详细介绍相应的维修工艺,旨在为车载充电机的故障诊断和维修提供技术支撑,提高车载充电机的可靠性和使用寿命。
【摘要】车辆工程专业教育对系统掌握车辆基本概念、类型、结构原理等诸多能力培养至关重要。然而,针对当前课程设计存在教学模式同质化、教导过程机械化等问题,文章提出引入基于人工智能的全流程柔性个性化课程设计。在课前通过AI赋能诊断学情并推送柔性个性化课程资源;课中依托AI工具对车辆基本功能原理建立直观认知,并实现互动探究与即时反馈;课后借助AI手段开展个性化巩固与应用拓展。本研究依据学生实时学情进行柔性个性化动态调整,助力形成面向未来发展的更高视角,为车辆工程专业教育改革提供新思路。
【摘要】随着新能源技术在中国汽车产业中的广泛运用和快速发展,高职院校纷纷设立与该技术相关的专业。文章通过归纳产业技术优势,梳理新质生产力对产业发展的客观影响,探索高职院校新能源汽车专业创新育人的现实路径。
【摘要】职业本科院校承担着为行业输送高素质专业人才的重要任务。为使学生在步入社会后更好地胜任工作岗位并满足实际需求,职业本科院校应当注重实训教学的开展,将理论和实践进行有效融合。当前职业本科院校开展汽车线控底盘实训所使用的设备,往往是由第三方开发的,适配性不佳,难以精准满足职业本科院校的实际教学需求,教学效果不理想且成本高昂。针对此,本文立足于职业本科教育的特点,基于实际需求,对汽车线控底盘实训教学系统的整体设计进行探讨,并进一步介绍其应用策略,希望能够为相关人士提供借鉴。
【摘要】文章以汽车车身焊接技术教学为研究对象,以“ 1+X ”证书制度为研究基础,从不同角度阐述如何在新的教学制度下开展教学重构,旨在培养出更符合汽车行业需求的焊接技术人才。