量子计算 我国首款自主量子计算机操作系统“本源司南”开放线上下载 安徽省量子计算工程研究中心宣布,我国首款自主研发量子计算机操作系统“本源司南”正式开放线上下载。这是全球首个开放下载的量子计算机操作系统,将降低开发门槛,加速我国量子计算生态自主化建设。 ·芯片 阿斯麦ASML公布EUV光源技术突破,2030年芯片产能有望提升 50% 据路透社报道,阿斯麦(ASML)的研究人员表示
摘要:针对现有道路空间资源与交通需求不匹配的问题,本项目融合多源交通流检测、边缘计算和机械控制,实现秒级响应,设计研发了基于交通流状态判别的智能道路分隔护栏系统,通过交通量数据检测系统实时采集路段各类交通量和车速数据,并基于数据处理结果,通过交通流状态判别系统实时判别道路交通运行状态和拥挤程度,最后通过分隔护栏的位置移动来实现道路空间的重新分配,及时疏散交通拥堵方向的车流,从而缓解道路瓶颈路段的交通拥挤状况,提高道路通行能力。
摘要:针对3D打印混凝土(3DPC)模板柱轴压构件损伤定量评估与快速检测的需求,文中提出一种“细观三维有限元-损伤指数模型-计算机视觉”的综合技术方法。首先基于CT扫描结果构建3DPC模壳与贫镁矿混凝土核心的细观随机模型,采用蒙特卡洛与随机骨料生成算法建立206组参数化有限元模型,并结合6个轴压试件试验进行标定,峰值承载力误差控制在 8% 以内。其次引入修正Park-Ang损伤指数,标定组合系数 β=0.087 ,将3DPC模板柱轴压全过程划分为四级损伤状态,并在各典型阶段及多视角输出构件表面变形图像,形成共54468张、具有明确物理含义标签的损伤图像数据集。最后选取GoogLeNet、ResNet-50和VGG16三种卷积神经网络进行对比训练,结果表明GoogLeNet在测试集上的分类准确率为 71.5% ,整体Macro ?F1 达到 96.1% ,在真实试验照片上的损伤识别正确率超过 85% 。研究表明,所提出方法能够实现3DPC模板柱损伤状态的可靠定量评估与图像智能检测,为装配式混凝土模板柱的健康监测与工程应用提供了有效技术支撑。
摘要:针对文旅场景提出一种融合多模态感知与自适应决策的智能垃圾桶创新设计方案,在智能算法和智能硬件的加持下,通过多模态智能感知实现“人来唤醒、人走休眠”,利用计算机视觉识别技术实现垃圾分类的智能识别,独特的机械结构设计和自动化控制实现垃圾的智能收纳。整套系统在人工智能技术的加持下,实现智能决策、自主运行,在整体设计上充分融入景区地域文化元素,完成地域文化符号转译与生态理念物化表达,将智能化技术深度融入“绿水青山就是金山银山”的绿色生态发展理念。
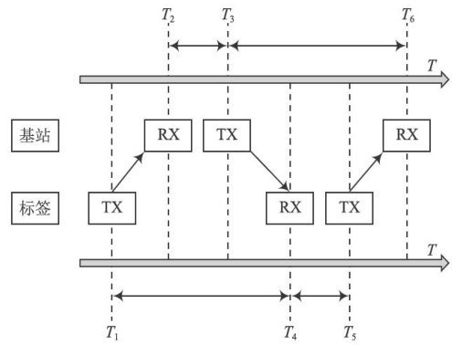
摘要:传统仓储货物定位精度低,需要投入大量人力进行管理,且容易出现管理混乱等问题。针对以上问题,文中设计并实现了一种多基站协同的UWB仓储货物定位系统,该系统以STM32为主控芯片,搭载DW1000超宽带芯片构建节点,结合三边三维定位算法通过四个分布式基站协同解算货物标签的三维坐标,实现货物实时追踪,具有成本低、易部署的实用价值。在实际测试中,采用两组货架和三种货物进行测试,分别测试了货物的入库、出库和位置错误等常见的三种状态,测试结果与预期设计目标一致。研究结果表明,该多基站协同UWB仓储货物定位系统可有效解决传统仓储核心痛点,运行稳定且实用价值突出,达到设计的预期目标,可以为仓储企业提供可行性方案。
摘要:环境DNA(eDNA)技术作为新兴的生物多样性监测手段,在生态环境评估领域具有重要应用价值。然而,传统空气eDNA采样技术普遍存在被动式采集模式、采样均匀性不足、抗污染能力薄弱及采样过程可追溯性缺失等技术短板。为此,文中提出一套集成边缘智能技术的无人机空气eDNA采样与防污染信息化系统。该系统整合多层级防污染物理结构、嵌入式传感单元、智能采样调控算法及数据溯源信息化框架,构建形成了从样本采集到数据上传的全流程智能化管控闭环。通过优化气流导向式负压采样装置结构,并耦合自适应控制策略,有效克服了无人机旋翼气流扰动对采样代表性的不利影响;依托边缘计算与云端协同架构,实现采样数据的实时解析、加密传输及全链条可追溯管理。实验结果验证表明,系统在采样效率、防污染性能及数据完整性三大核心指标上均显著优于传统采样方法,为环境DNA采样技术的信息化升级提供了可行解决方案。
摘要:为了保障消防员在火灾等危险环境中的生命安全,文中开发了一种实时监测其生命体征的系统。系统采用MAX30102监测心率和血氧含量,XGZP6847A监测呼吸状况,MQ-2和MQ-7监测环境烟雾浓度和一氧化碳浓度,并通过WiFi或BLE通信将数据实时传输至移动端。当监测数据超过阈值时,系统自动触发警报机制。测试结果表明,该系统能够准确地将数据传输至移动端,并在异常情况下及时发出警报,有效提醒消防员身处险境。该系统创新性地实现了对消防员生命体征及环境因素的实时监测和预警,具有较高的应用价值和广阔的应用前景。
摘要:为解决传统水质监测实时性差、范围有限、精度不足的问题,实现水体质量的精准评估与高效监测,设计了水质监测系统。该系统集成pH、浑浊度、溶解性固体总量TDS、温度等传感器模块,采用华为海思Hi3861为主控芯片,通过数据滤波与校准预处理保障数据精度,借助MQTT协议将监测数据上传至华为云IOTDA平台,同时可实现增氧器、换水器的远程操控。系统能够完成水体多参数实时监测,数据传输稳定可靠,远程控制响应及时,有效解决了人工干预滞后的问题。相较于传统监测方式,该系统有效降低了人工成本,显著提升了监测的实用性。其融合多参数实时监测与云端远程控制核心技术,在规模化水产养殖等实际场景中具备较高的应用价值与广阔的推广前景。
摘要:为改善甘南地区藏羊肉在冷链物流运输中信息欠透明的现状,设计一种基于物联网技术的藏羊肉冷链物流监测系统。以STM32单片机为核心,利用温湿度传感器、北斗定位/GPS等技术对运输车辆的箱内温湿度、车辆实时位置数据进行采集。系统的客户端通过云平台或者手机APP查看车辆箱内环境数据及实时位置,有效提高甘南地区藏羊肉在冷链运输中的信息化与透明化,保证肉质品品质和安全。
摘要:在数字化时代,物联网技术对环境监测与控制领域影响深远。文中“EcoScope——物联探测者”项目旨在解决环境质量监测与调控难题,它集成多种传感器,构建全面监测体系,能实时采集多维度环境数据,并借助物联网通信技术实现云端实时上传,支持远程监控与智能调控。该项目硬件选用STM32系列嵌入式开发板、中智讯传感器模块和智云网关ZXBeeGW4,通过C语言开发嵌入式程序。系统经功能模块分解,涵盖数据采集、处理、控制执行、用户交互、数据存储与传输等模块,各模块协同工作。经单元测试、集成测试、系统测试和用户接受测试,系统功能完备,性能指标良好,在运行速度、安全性、扩展性、部署方便性及可用性等方面表现优异。其在工业、农业、城市管理、科学研究等多领域应用前景广阔,有助于提升生产效率、保障安全、推动可持续发展,但推广时需关注数据安全等问题。
摘要:文中设计并实现一个基于STM32的便携式空气质量检测系统。该系统以STM32微控制器为核心,集成多种空气质量传感器,能够实时、准确地检测空气中的有害气体浓度和颗粒物含量。系统具备数据显示、存储和传输功能,通过OLED显示屏实时显示检测数据,并可通过ESP8266模块将数据传输至阿里云IoT平台。经过测试,系统具有体积小、携带方便、检测精度较高等优点,能够满足对空气质量进行实时监测的需求。
摘要:物联网作为新一代信息技术核心,设备识别与安全是关键挑战,身份识别技术价值凸显。文中提出一种基于软硬件指纹特征的物联网设备识别方法。在硬件指纹提取层面,结合深度学习模型构建多域特征提取方法,整合信号时域统计特征与频域频谱特征,全面捕获设备硬件属性;在软件指纹提取层面,从设备交互流量中提取行为特征。通过软硬件层次的属性信息进行识别,实现设备身份的精准判定。实验结果表明,软硬件指纹识别准确率均达 99% ,提升了设备识别的准确性和安全性,为物联网设备管理提供了一种新方案。
摘要:针对传统渔业死鱼监测中人工巡检效率低、实时性差、漏检率高的痛点,文中设计并实现了基于YOLOvlln轻量级目标检测模型的智能渔业监测系统。系统采用“终端感知-边缘处理-云端平台”三层架构,通过YOLOvlln模型完成死鱼目标的自动识别,结合ZigBee与GPRS双模通信实现数据传输,搭配数据可视化技术辅助养殖管理决策。测试结果表明,该系统在死鱼识别任务中有效提高了巡检效率,准确实时地监测出死鱼参数,具备良好的实用性、实时性与可扩展性。
摘要:为满足无线通信系统的需求,文中设计了一款适用于5G通信的小型化宽频微带天线。该天线在单极子微带天线的基础上进行仿真设计,天线基板背面结构采用加载梯形贴片和刻蚀缝隙的矩形贴片组成,以达到宽频化的目的,使用曲流技术对辐射贴片开U型槽和E型槽以缩减天线尺寸,通过对馈线增加分支结构来抵消由于尺寸缩减导致的天线谐振频率和辐射性能的变化,从而达到小型化的目的。天线印制在材料为FR4的介质基板上,其相对介电常数为4.4,天线整体尺寸为 29mm×16mm×0.8mm 。经过仿真软件HFSS仿真可知,天线在谐振点 3.6GHz 处的工作带宽为 1.00GHz ,工作频段为 3.26~4.26GHz ,相对带宽为 27.8% ,最大增益为 2dB 。该天线适合于无线通信系统中的5G通信中频段使用。
摘要:针对传统仓储人工盘点方式效率低下、差错率大、人力成本高的现状,文中开发了基于高频RFID技术的智能仓储盘点管理系统。该系统由ROS移动机器人、电子标签信息采集系统和后台仓储信息管理系统构成,三大模块有机结合形成完整的盘点体系。其中ROS移动机器人配备高精度传感器、高频RFID读写器,并采用SLAM自主导航和建图技术,可自主完成仓储环境建模和巡检路径规划,采用高频RFID非接触式、多标签批量读取优势,快速采集货物电子标签中的品类、批次、数量等信息,通过稳定的无线网络将数据上传至后台系统,后台仓储信息管理系统作为数据处理和决策平台,对库存状态实现动态更新和同步,并可以对漏盘、错盘、库存异常等情况触发报警,完整留存盘点全流程数据并进行历史追溯分析。通过实际仓储应用表明,该系统能够有效提高盘点准确率、更快更好地完成盘点,减少人工干预,降低成本,为传统仓储行业解决管理瓶颈、实现智能化转型升级提供了科学有效的技术依托。
摘要:当前机器人领域正在从单体向集群方向发展,虽然出现了针对机器人集群使用的二代机器人操作系统(ROS2),但是由于ROS2对共享信息的精准控制和数据加密困难,在一定程度上影响了ROS2在集群场景的使用。由于基于一代机器人操作系统(ROS1)的众多改良和应用已经非常成熟,所以基于ROS1实现集群功能依然具有广泛的市场。文中重点研究基于ROS1的分布式实时数据分发,将ROS2所采用的FastDDS(快速数据分发服务)引入到ROS1系统,解决了ROS1和FastDDS混合编译、基于DDS的ROS1话题发布订阅、基于DDS的ROS1服务远程调用(RPC)等难题,希望能够促进机器人集群领域的快速发展。
摘要:Modbus协议的主要作用是连接工业电子设备,实现设备之间的数据交换和控制,已广泛应用于工业自动化领域。然而支持Modbus协议的设备功能各异,通信和设备控制方式也各不相同,如何有效整合不同设备以实现电池的自动化协同测试,成为了业内关注的焦点。针对上述问题,文中设计了一种电池测试系统,通过Modbus协议控制外部电源、环境仓等设备,并编写自动化的测试方案,实现协同控制测试。经现场用户使用得出,通过测试系统对电池进行测试,能有效获取电池的各类性能参数,为电池生产和研发人员提供重要的测试数据。系统还采用模块化的设计和开发方法将Modbus协议进行封装,具有艮好的兼容性和扩展性,能快速适配到各类设备中,在同类产品中具有借鉴意义。
摘要:针对城市区域交通流时空分布不均衡、单点信号控制效率低下等问题,提出一种融合多源物联网数据的区域交通信号协调控制策略。首先,构建以PLC为边缘控制核心、云平台为决策大脑的“云-边”协同物联网架构,集成来自视频车检器、地磁传感器、车载GPS及路口雷达等多源动态交通数据。其次,设计分层式控制策略:在边缘层,PLC执行实时数据预处理;在协同层,基于改进权重矩阵的区域协调控制算法,动态优化公共信号周期与相位差。实验结果表明,与传统定时控制和感应控制相比,协调控制策略在高峰时段能将区域路网平均延误降低约 18.3% 、通行效率提升约 15.7% ,验证其在提升区域交通协同控制智能化水平方面的可行性与优越性。
摘要:基于缓冲区的序列调度问题比一般的离散调度问题具有更高的复杂度,文中主要研究汽车制造业中带返回车道的线性缓冲区的序列调度问题,特别关注汽车涂装-总装车间的调度。针对缓冲区动作复杂性,提出多智能体强化学习CIPPO算法,并结合膨胀卷积与残差结构加速近端策略优化(PPO)算法收敛,解决调度效率问题。首先引入多智能体,以降低带返回车道线性缓冲区调度问题的环境复杂度;然后采用带残差块的膨胀卷积神经网络进行局部特征提取,解决了局部特征提取效果不佳和提取维度单一的问题;最后将膨胀卷积与PPO算法相结合,解决深度强化学习中拟合过慢的问题。在某汽车车间的实际调度案例结果表明,所提出的方法能有效减少排序时间,并实现总装车间序列按比例出车的目标,进而显著提高涂装-总装车间的生产效率,具有应用价值。
摘要:针对传统JPS算法在复杂环境路径规划中存在的盲目性高、扩展节点数量多、内存占用大、决策效率低等问题,以及其离散化地图表示与简单启发函数在复杂环境中适应性不足的局限性,提出一种改进的路径规划方法。该方法通过引入新型代价函数,增强搜索方向的自适应性,减少节点扩展的盲目性;引入自适应权重机制,在远离目标时增大启发项权重以加速搜索,接近目标时增大路径代价权重,并结合障碍物密度信息提升路径安全性与质量;通过冗余节点删除与路径平滑处理,进一步提升路径的简洁性与自然度;通过改进DWA算法的综合评估函数,提高其在停滞状态下恢复运动的能力以及更加趋向目标节点运动的能力;最后,将JPS算法与改进DWA算法融合,提升局部动态避障能力与整体算法响应速度,并借助分段局部目标导向机制避免DWA算法陷入局部最小值。实验结果表明,该方法相较于传统JPS算法,在保证路径安全与平滑的前提下,显著减少了扩展节点数量与规划时间,提升了复杂环境中的动态避障能力与整体轨迹质量。
摘要:针对医学图像分割中复杂结构和噪声干扰导致的精度欠佳问题,提出一种改进mU-Net的医学图像分割算法。在图像预处理阶段,采用Caputo型分数阶微分进行图像增强,有效提升了医学图像的边缘细节和纹理特征表达能力。在主干网络设计中,首先引入自校正卷积模块,通过多尺度特征校正机制增强了对不规则目标及边缘细节的捕捉能力;其次提出自适应阈值约束的动态通道注意力机制,实现了通道权重的优化分配,强化目标区域特征并有效抑制了噪声干扰。实验结果表明,所提算法在Dice系数、IoU和敏感度上均显著优于传统mnU-Net模型,在MSDHippocampus、FIVES和CC-CCII三个数据集上,IoU分别提升了 2.89% , 1.14% 和 1.55% ,召回率分别提高了 1.55% , 0.51% 和 1.78% 。分割可视化结果进一步证实,该算法在海马体边缘、血管分叉和肺部感染区域等复杂结构的分割任务中表现出了优异性能。
摘要:针对生产车间消防、搬运、输送等多种应用场景需要配置多种设备,导致生产成本高、管理复杂等问题,设计了一种多功能模块化联网全向轮机器人系统,通过模块化设计将消防灭火、物资输送、搬运功能集于一体。系统采用三轮全向轮底盘实现全方位移动,基于STM32和ESP32的双控制器架构完成运动控制与网络通信,并设计了快拆式模块以实现各功能的快速切换。研究内容包括全向轮运动学建模、分布式控制系统设计、视觉辅助瞄准算法及网络化人机交互系统实现。实验结果表明,所设计的机器人系统在平滑地面环境下可实现高效物资输送、消防灭火、货物搬运等功能,模块化设计使功能切换时间缩短至 20s 以内,具有较高的实用价值和推广前景。
摘要:含噪条件下的LASSO稀疏恢复是信号处理中的关键问题。文中旨在分析并验证加速一阶方法在该类正则化复合凸模型中的收敛特性。基于广义加速梯度下降( AGD+ )理论框架,结合近似对偶间隙技术(ADGT),对模型的梯度-近端结构进行了系统的理论研究,在非强凸条件下给出了算法的收敛速率及选代复杂度估计。在此基础上,引入自适应重启策略,设计了与AGD 1+ 理论分析一致的加速近端梯度算法,并通过数值实验对其性能进行了验证。实验结果表明,该方法在保持加速收敛性的同时,显著提升了算法的数值稳定性与稀疏信号重构精度。该研究为加速一阶方法在含噪稀疏恢复问题中的应用提供了理论依据和实践参考。
摘要:为了兼顾永磁同步电机(PMSM)的动态与稳态性能,提出一种新型协调函数模型,设计融合反馈线性化与状态误差PCH的复合控制器,并应用于PMSM速度伺服控制。通过反馈线性化控制提升伺服系统的动态性能,借助状态误差PCH控制保障系统的稳态性能,利用协调函数优化控制切换过程。为减小负载转矩扰动对PMSM速度伺服系统的影响,设计了一种以机械参数为观测对象的扩展滑模观测器。仿真结果表明,该观测器可准确地预测负载转矩,对负载扰动有较强的鲁棒性;设计的协调控制方案显著提升了PMSM速度伺服系统的动态性能,减小了速度跟随误差,具有良好的应用前景。
摘要:为满足山区物联网监测对高分辨率、低成本气象数据的迫切需求,文中提出一种基于地形因子的气象预测方法。该方法通过细致分析特征重要性,阐明地形因子对区域气象场的影响机制。以六盘山地区为例,通过深入考察高程、坡度、坡向及经纬度等关键地形变量,构建梯度提升树模型,实现了温度、相对湿度及风速的高精度预测。实测结果表明,模型在温度、相对湿度及风速三个要素上的决定系数( ?R2 )分别达到0.9865、0.9815及0.9809,纳什效率系数(NSE)均超过0.986,显示出优越的预测性能与可靠性。此外,特征重要性分析不仅量化了地形对各气象要素的贡献,其结果也与物理机制高度吻合,揭示了清晰的地形-气象场相互作用机理。文中研究为山区物联网节点稀疏区域的气象数据外推提供了有效支撑,对于智慧山地管理、地质灾害精细预警和生态系统监测具有积极意义,可显著提升空天地一体化监测体系的整体效能。
摘要:针对传统口罩虽能有效过滤细菌病毒,却无法对空气进行加温的问题,设计一种基于PWM的高精度WiFi智能恒温口罩系统。该系统以STM32F407为核心控制器,集成DS18B20温度传感器、SFM3000流量传感器与柔性石墨烯加热片,构建了“感知-控制-执行-反馈”的闭环控制架构。通过融合多传感器数据,系统能够实时识别用户呼吸相位,并动态调整PID控制算法的输出,进而以高分辨率PWM波驱动加热片,实现吸入空气的快速升温与 ±0.5°C 以内的精准恒温控制。此外,借助ESP8266模块,可以将温度、呼吸频率等数据上传至手机APP,实时显示与设置,显著优化了人机交互体验。所提系统在提升呼吸舒适度的同时,通过动态功耗管理与高效的硬件资源利用,确保了设备的续航能力与安全性能。
摘要:当前工业园区普遍采用的“一企一机”污水监控模式,在实际运维中暴露出设备分散、投资成本高、利用率低等问题。为解决上述痛点,文中经过多轮实地调研与技术论证,设计并实现了一套基于“分时排水、一机多测”理念的园区污水排放监控管理系统。该系统采用三层分布式架构:平台端基于Vue与.NETCore构建,负责策略制定与集中管控;现场端按3\~5家企业为一组部署,每组共享一套水质分析仪、工控机、留样仪及多路切换装置;企业端则每厂配置一套基于GD32单片机的泵阀控制单元。系统核心运行逻辑为“组间并行、组内分时”,组内企业分时共享监测设备,组间并行执行监测任务,企业端与现场端均通过高可靠TCP/Socket长连接与平台通信。在湖北松滋临港工业园区的实际部署中(36家企业分为8组),系统实现了“监测-上报-判断-处置-留样”的全流程闭环管理,设备总投资较传统模式降低约 60% ,运维人力成本下降 50% ,园区污水排放达标率从 85% 提升至99.2% 。实践表明,该系统不仅显著降低了建设与运维成本,更推动了园区污水监管向精细化、智能化方向演进。
摘要:校园无人清扫车实验平台是我校机器人工程专业核心实践课程的教学实验平台,针对该校园无人清扫车对障碍物的识别和分类及路径规划问题,提出一种基于机器视觉和雷达数据融合决策的控制策略。通过激光雷达进行SLAM建图,将相机与雷达数据进行融合实现对障碍物位置的标定,利用YOLOv5s算法检测结果与相机和雷达关联的数据进行融合确定障碍物信息,无人清扫车根据障碍物的信息进行避障或清扫处理。以校园真实环境为实验场景设计基于ROS的仿真实验,实验结果显示,该无人清扫车在校园环境中2条差异化较大的路况下,均能达到安全避障行驶至终点,且在行驶过程中能够准确识别人、车、障碍物以及可清扫的垃圾,处理垃圾的成功率达到84% 以上,避障成功率为 100% ,表明该策略在无人清扫车实验平台中的有效性,能够满足机器人工程专业核心实践课程的实验要求。
摘要:在“工业4.0”与智能制造深度融合的时代背景下,机器人物料分拣技术已成为优化生产流程、提升产业效率的核心支撑。以RobotStudio软件为核心平台,结合SolidWorks 建模、工作站布局优化、Smart组件开发、运动轨迹规划及仿真验证,完成机器人分拣工作站的仿真设计研究。仿真结果表明,该分拣站能够按照生产计划自动完成物料分拣和配送任务,减少了人工干预,提高了物料供给的精度和时效性,显著降低成本,提升效率。
摘要:城市地下综合管廊在提升市政基础设施集约化水平及运行安全方面扮演着关键角色,其地下空间封闭且环境复杂,火灾、气体泄漏、积水及非法入侵等风险事件频发。以深圳地铁16号线共建设施管廊为分析基础,开发一套采用分层ACU架构和多源传感器配置的智能化安防解决方案,提出实时监控及数据融合的途径。首先对系统构成及其关键子系统的功能逻辑进行探讨,深入分析视频监控、门禁管理、入侵警报及电子巡更的协同运作机制;其次,聚焦于该案例的特定区域,通过传感器部署、光纤通信网络及边缘计算设备,实现了区域自治与中心调控的实时监控一体化;最后,引入新的融合框架与算法,实施Kalman滤波、神经网络及多源加权途径,大幅减少误报、提高判别精度。研究结果表明,所提系统对告警的处理时间缩短至2s,实现了 100% 的防火分区防护,高风险区域报警准确率有所上升。研究成果为城市综合管廊的安全运营提供了可借鉴的技术路径。
摘要:图像字幕生成的核心挑战在于如何将视觉特征序列有效映射至语义连贯的文本序列。针对现有方法中视觉特征噪声敏感和序列依赖建模不足的问题,提出一种空频双域特征融合机制。在编码阶段,通过傅里叶变换提取频域特征,分离幅度谱(刻画结构信息)与相位谱(刻画细节信息),与空间区域特征进行跨域融合,构建抗噪性更强的多模态表征。进一步设计多路径依赖感知解码器:首先采用通道式逐点变换实现特征解耦,提升细粒度语义解析能力;其次设计动态卷积核生成网络,根据上下文自适应调整感受野,相较传统卷积,计算开销得到降低;最后构建层次化自注意力模块,通过多头交互捕捉跨模态长程依赖。同时,为实现模型轻量化,提出频域特征降维。实验结果表明,该方法在MSCOCO2014测试集上CIDEr指标达 125.9% 。
摘要:针对传统气象站中人工观测数据不精确、自动化水平低的问题,设计一个基于物联网的数字化农业小型气象站。该气象站以ESP32S3-WROOM-1模组为核心控制器,搭配DS18B20空气温度传感器、SHT30空气温湿度传感器、土壤湿度传感器、BH1750光照强度传感器、翻斗式雨量传感器及风速风向传感器,通过控制器内置WiFi模块完成数据初步处理,可实现空气温度为 ±0.5°C 、空气湿度为 ±2%RH 、光照强度为 ±20lx 、降雨量为±0.2mm 、风速为 ±0.3m/s 、风向为 ±3° 的测量精度。软件层面搭建有实时数据更新与预警功能的可视化平台和移动端应用,可助力农业生产人员及时掌握环境气象信息,对保障农业安全生产意义重大。
摘要:文中设计一种以西门子S7-200 SMARTPLC为核心模块的立体仓储自动化控制系统。通过系统内部的光电传感器收集并处理相关信息数据,随后将这些数据传递给系统的核心模块,最后在MCGS组态软件中进行演示操作。所构建的检测与执行双模块系统以西门子S7-200SMARTPLC为核心控制器,检测模块采用光电传感器实时采集货物位置及状态信息,执行模块通过三轴异步电机驱动机械臂,实现货物空间精准存取。结合MCGS组态软件搭建仿真交互界面,集成手动调试、零位回归及多级报警功能,通过触摸屏实现可视化操作与货架状态监控。所设计系统通过PLC精准控制与模块化架构,解决了传统仓储自动化程度低、容错性差的问题。该系统的创新性体现在三轴协同控制算法与MCGS动态仿真结合,为国内中小企业提供了可扩展的仓储自动化解决方案,具有推广价值。
摘要:随着物联网技术与健康监测的深度融合,传统“物联网通信技术”课程的实验教学亟需向多学科交叉的实践模式转型。文中提出了一种基于毫米波雷达与STM32的智能睡眠监测实验教学方案,通过“感知-传输-处理-应用”全技术链设计,实现心率监测、睡眠状态分期及睡眠质量评估的综合性实验教学。实验平台采用毫米波雷达以非接触方式采集生命体征数据,结合实时信号处理与云端数据分析,构建覆盖硬件开发、算法实现及系统集成的教学体系。教学实践成果表明,该实验有助于学生熟练掌握物联网通信技术在医疗监测中的应用,构建“医工信”多学科融合创新思维,培养严谨科研作风与团队协作能力,能够有效提升学生在“医工交叉”模式下的实践能力与创新思维。
摘要:文中以“传感器及工程应用”课程为例,探讨市场导向背景下,通过产教融合实现科研反哺教学的创新路径及实践应用。文中分析了市场导向下产教融合的新理念,提出以市场为导向、科研反哺为核心的实践路径与策略,具体包括将科研成果转化为教学内容、以科研项目引领教学实践、借助科技作品激发学生科研兴趣等多项举措,并对相关实践效果进行了总结与分析。实践结果表明,通过建立“科研反哺教学”机制,本课程成功实现了教学内容紧跟产业前沿、教学过程深度融合工程实践、人才培养精准对接市场需求,切实提升了学生的工程实践与创新能力,为现代产业集群可持续发展提供了坚实的人才支撑。
摘要:通过分析物联网工程专业在专创融合教育开展中存在的问题,基于共生理论提出“理论-实践双维协同”的专创融合课程体系构建路径。在理论维度,构建三层次递进课程架构:基础层次课程采用“基础理论 + 行业案例”双轨模式进行专创融合;中间层次采用“技术链 + 创新链”双链耦合模式进行专创融合;顶层构建“专业核心课程 + 校本特色课程+跨专业课程”三维课程矩阵进行专创融合。在实践维度,构建“基础-综合-创新”三层次递进专创融合实践教学体系。研究结果表明,构建物联网工程专业专创融合课程体系对于提高人才培养质量、促进学生创新创业能力培养具有重要意义。
摘要:在“人工智能+”行动持续推进与AIoT产业快速发展的双重背景下,物联网工程专业的“人工智能”课程成为培养复合型人才的重要载体,其教学质量直接影响人才培养成效。针对当前课程存在内容与前沿技术脱节、教学方式单一、实验体系不完善等问题,提出系统性教学改革框架。将课程内容重构为基础理论、前沿技术、场景化应用三大模块,强化适配物联网场景的AI技术教学;采用线上线下混合式教学,提升学时利用效率;完善基础、进阶、综合三级实验体系,融合学科竞赛,强化实践能力培养;优化评价机制,提高实践环节分数占比。课程改革旨在提升学生的知识水平和实践能力,为培养适应时代需求的物联网专业人才提供参考。