机器人 “稚晖君”发布能塞进包里的机器人 近日,智元机器人联合创始人兼CTO“”发布了全球首款全身力控小尺寸人形机器人“启元Q1”。作为全球最小全身力控人形机器人,“启元Q1”在关节系统、整机尺寸与应用场景上均实现了多项突破,将实验室级的人形机器人能力浓缩至背包大小的体量中。它重新定义了小型化人形机器人的可能性,旨在打造个人可拥有、可使用、可创作的机器人形态,为个人机器人市场注入全新活力,
摘要:本项目聚焦于开发可同时应用于气体检测与医疗成像(OCT)领域的高性能波长可调谐激光器,核心技术为新一代高光束质量、大范围波长的可调谐MEMS-VCSEL。该激光器已在痕量气体与烟雾检测传感器中实现高灵敏度、高选择性的应用,同时适配OCT医疗成像系统所需的波长调谐特性和高速扫描能力,在两个关键领域均处于国内领先、国际先进水平。
摘要:现阶段我国的智慧公厕正在加速建设,但目前智慧公厕的通信实时性差、路由链接复杂、数据采集不稳定。为此,设计了一种基于物联网与5G的智慧公厕实时监测系统。该系统采用四层物联网架构:设备以AIR32F103RPT6为主控模块,采用MEMS五合一、坑位光电等传感器并搭配专属算法实时监测智慧公厕氨气、硫化氢、 PM2.5 浓度以及坑位状态等数据,控制水阀等开关,实现智慧大屏显示;5G模组RM500U使用MQTT协议实现设备与阿里云平台的数据交互;阿里云平台通过创建消息路由函数计算FC脚本,实现应用服务层与感知控制层的数据流转及交互;微信小程序与管理终端Web对实时数据进行展示与操作。实验结果表明,该系统设计的网络拓扑合理,设备到微信小程序的平均通信时间为 13ms ,系统数据准确率高达 99.7% ,设备连接阿里云平台的并发性极高,管理终端Web可以精准控制设备。该系统可广泛应用于智慧公厕场景,并为智慧城市的其余场景建设提供解决方案。该系统已成功部署于云南大学及部分景区,具有极高的实用、经济、公益价值。
摘要:针对黄河日益严重的水污染问题,提出一种基于NB-IoT技术的黄河水质监测系统。该系统利用NB-IoT的低功耗、广覆盖和高容量特性,结合多种高精度传感器,实现了黄河水质参数的实时监测、数据远程传输、智能分析及预警信息的及时发布。系统采用分层架构设计,包括感知层、传输层、平台层和应用层。感知层通过多种传感器采集关键水质参数,传输层利用NB-IoT技术将数据稳定传输至云服务器,平台层进行数据分析和预警生成,应用层提供用户交互界面。该系统具有低功耗、多参数集成、智能预警和便捷管理等创新性特点,为黄河水质监测和管理提供了高效、可靠的解决方案,具有广阔的应用前景和推广价值。
摘要:在工业生产及特定高风险场所,规范佩戴口罩是保障人员安全与健康、维持生产合规性的关键环节。传统人工监督方式存在效率低、覆盖面有限且易受主观因素影响等局限性。文中系统研究了该领域的核心模型与应用技术,重点分析了卷积神经网络(CNN)、YOLOv5和MobileNetV2三种模型的性能特点。研究涵盖数据集构建、预处理方法、检测流程设计及模型评估体系,并通过对比实验验证各模型在复杂工业环境中的表现。实验结果表明,YOLOv5在速度与精度间取得最佳平衡, F1 分数达 97.6% ,检测速度为 45f/s ,适合工业实时检测场景;MobileNetV2则以低计算开销(1.3GFLOPs)和小模型体积( τ14MB )实现62f/s高效推理,适用于移动端部署。该研究为智能口罩检测技术的实际应用提供了理论支持与技术参考。
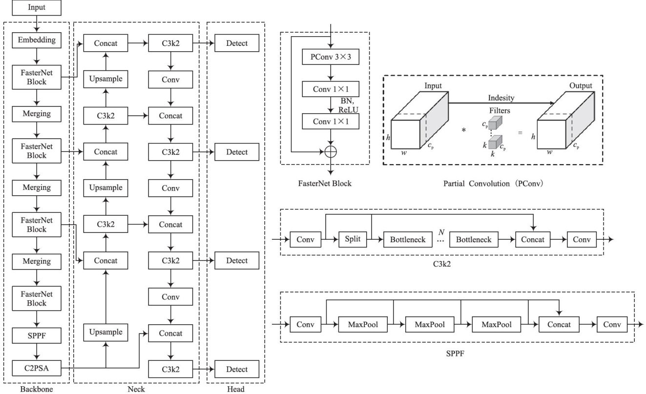
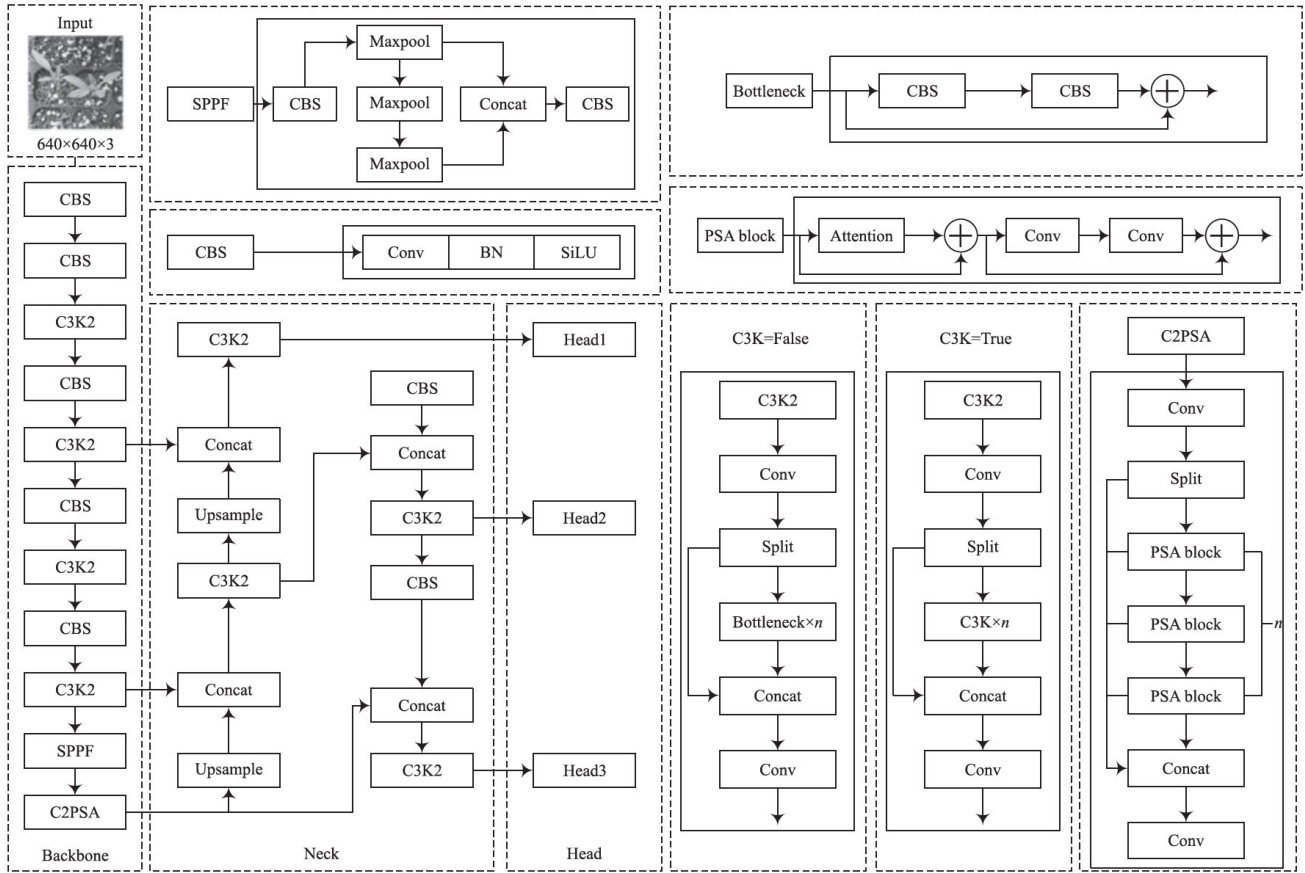
摘要:为了提升无人机在低光环境下的目标识别能力,减少漏检,提出了一种基于改进YOLO1ln的红外图像目标检测方法,对无人机视角下的红外人和车目标具有良好的检测效果。该改进方法主要包括两个方面:首先,通过使用FasterNet替换主干网络,增强模型的特征表达能力;其次,在检测头增加P2检测层,提高对小目标的检测能力。实验结果表明:改进后的模型在自建的红外人和车数据集上的精确度可达 97.4% ,召回率可达 97.7% ,平均精度均值 (mAP@0.5:0.95 )可达 80.8% ,相较于YOLO1ln分别提升 1.1% , 4.9% 和 2.3% ,能够显著提升红外人和车目标的检测精度并减少漏检。
摘要:针对毫米波雷达在室内跌倒检测中面临的多径效应、动态干扰及模态混叠等关键问题,提出了一种基于主成分分析(PCA)与麻雀搜索算法(SSA)优化的变分模态分解(VMD)联合信号处理方法,旨在提升复杂家居环境下跌倒检测的精度与鲁棒性。首先,通过PCA对FMCW雷达回波信号进行降维预处理,有效抑制冗余数据与噪声,降低后续计算复杂度;其次,引入SSA自适应优化VMD的核心参数(模态数 k 与惩罚因子 α. ),解决了传统VMD依赖人工经验调参的局限性,显著降低了由杂波及动态干扰引起的模态混叠问题,实现了多目标场景下跌倒瞬态特征的高效分离与生物异常运动信号的精准提取。实验结果表明,该方法能够将虚警率降低至 5% ,通过提取目标极化信息与速度-角度联合特征,在多目标共存场景下的检测准确率达到 97% 。为智能居家养老中高鲁棒性非接触式跌倒监测系统的开发提供了理论支撑与技术实现路径。
摘要:针对高血压等慢性疾病发病时具有隐匿性的问题,文中将深度学习与无袖带式血压计结合,进行无创连续血压测量以提高其准确性;利用心电图(ECG)和光电容积描记图(PPG)信号,通过卷积神经网络(CNN)和长短期记忆网络(LSTM)相结合的深度学习算法,预测用户的收缩压、舒张压;通过硬件采集和处理ECG及PPG信号,以确保数据质量;采用CNN提取局部特征、LSTM捕捉时序依赖,实现血压的精准预测。实验结果表明,CNN-LSTM混合神经网络血压预测方法的平均绝对误差在 4mmHg 以内,收缩压和舒张压的平均相对误差分别为 3.36% 和 4.67% ,测量精度与传统欧姆龙血压计相当,但在便携性、实时性和用户体验上显著提升,拥有良好的应用前景,推动了智能健康监测设备的发展,为未来智能健康监测设备的发展提供了新的思路和方向。
摘要:针对温室番茄幼苗检测中背景干扰复杂、小目标密集及多尺度适应性不足等问题,提出基于YOLOvlln的三阶段优化算法。首先,引入RepViT主干网络,利用结构重参数化技术优化多尺度特征融合,在保证精度的同时降低计算复杂度;其次,设计多尺度动态注意力(MSDA)模块,通过通道解耦与空间注意力增强特征表达能力;最后,构建基于双向特征金字塔网络(Bi-FPN)的颈部结构,采用双向跨尺度连接提升多尺度特征融合效果。实验结果表明,改进模型在自建数据集上的mAP达 98.0% ,较传统YOLOv1ln提升 1.6% ,参数量和计算量分别降至 2.003×106 和5.9GFLOPs,分别减少 22.5% 和 6.3% 。对比YOLOv5\~YOLO10系列,该算法在保持最低计算量的同时,mAP平均提升 2.3% ,精确率和召回率达 96.8% 和 94.7% 。该模型通过精度与效率的协同优化,为农业自动化监测提供了兼具轻量化与高精度的解决方案。
摘要:目前通常利用频率采样法设计FIR数字滤波器,但是该方法易在过渡带附近出现较大误差。为了减小误差,文中设计一款基于频率采样法的FIR低通数字滤波器,通过在过渡带增加采样点的方法,减小了过渡带附近的逼近误差,从而提高滤波器性能。同时还介绍利用频率采样法设计FIR数字滤波器的基本思想及步骤,并分析基于频率采样法设计FIR数字滤波器产生逼近误差的原因以及减少逼近误差的方法。MATLAB仿真测试结果表明,文中设计的滤波器能够满足设计要求。因此,基于文中方法的FIR低通数字滤波器设计具有一定参考价值。
摘要:针对现有一维或二维的深度学习输入数据无法在同一模型内对网络加密通信特征进行全方位提取和分析的问题,提出了一种基于3D-CNN的物联网加密流量识别方法。该方法中每个加密会话数据包对应一个二维数据矩阵,包含数据包的协议报文信息和包长度、包间隔等通信行为信息;同一加密会话通信建立阶段的前 n 个数据包对应的 n 个二维数据矩阵按时间顺序堆叠成三维立方体,将其作为CNN模型的输入数据。与现有CNN+LSTM等混合网络架构相比,该结构能够在同一个模型内实现对加密会话报文特征、通信特征、包时序特征的全方位提取和识别,更加符合加密网络流量数据的结构形式,由此得到的加密会话特征信息更加合理准确,可以有效提升物联网加密流量识别的准确率和计算效率。
摘要:针对水声信号处理中传统小波变换在处理高频信号时存在的局限性,提出了一种基于小波包神经网络的信号降噪(WPDNet)模型。首先,设计了同时对高低频段进行分解并以平均池化替代下采样的小波包分解模块,避免误将有效信号当作噪声去除;其次,该小波包重构模块能够组合所有分解系数,以准确还原水声信号;最后,设计了高频增强模块,通过引入多尺度卷积、空洞卷积和残差连接来增强信号的高频部分,以更好地保留信号的高频特征。文中采用线性调频信号作为模板信号,并使用Watermark数据集中的信道测试模型的鲁棒性。实验结果表明,WPDNet的输出信噪比相较于小波神经网络(WDNet)提高了 0.7~5dB ,能够有效去除噪声,保留更多的有效信号成分。
摘要:胶质瘤是中枢神经系统最常见的原发性脑肿瘤,胶质瘤的基因分型对诊断与治疗至关重要,其中异柠檬酸脱氢酶(IDH)突变状态是关键的预后标志。传统依赖术后组织样本的检测方法存在延迟,而非侵入性磁共振成像(MRI)结合深度学习为术前预测提供了新思路。文中提出一种双流融合网络(DSFNet),用于多模态MRI胶质瘤IDH基因分型。该网络通过注意力引导的非对称双路径特征提取(ADFE)模块与基因分类器,深度挖掘T2和FLAIR模态的异质性特征。ADFE模块结合卷积神经网络与注意力机制,强化局部和全局特征融合,基因分类器则通过多尺度特征实现精准分型。在BraTS2020数据集上的实验表明,DSFNet的IDH分型准确率达 92.0% ,AUC为0.90,优于现有方法,为胶质瘤的精准诊疗提供了高效的非侵入性解决方案。
摘要:文中设计并制作了一种智能储物系统,实现储物柜的人脸识别、状态监测、危险警报及云端管理功能。人脸识别功能通过K210模块获取用户脸部特征参数,在Maix Bit芯片上利用YOLO算法进行人脸识别;红外传感器模块获取储物柜内物品存放状态,在沁恒CH32V307VCT6芯片上通过定时器实现空闲、占用、滞留的状态分类;通过DS18B20、MQ-2传感器模块获取储物柜内温度、烟雾参数。同时通过HC05蓝牙模块将状态结果和监测信息同步至服务器,管理人员通过手机端APP即可实现储物柜的在线监测。系统将储物柜的使用和管理数据化、智能化,可应用于超市、车站、游乐园等多种场景,具有较强的实用性,能有效为城市居民的生活提供便利,对推进公共设施智能化建设、物联网建设具有重要意义。
摘要:针对现有手语识别技术中存在的环境敏感性强、计算延迟高及穿戴舒适性不足的问题,文中提出了一种基于多传感器融合与边缘-云端协同的实时手语翻译系统。通过分布式IMU阵列与仿生机械结构设计,实现了手部16关节六自由度运动的高精度捕捉。系统采用ESP32-S3双核处理器进行四元数解算与动态滤波,显著降低了数据传输量。云端部署分层识别架构,结合K-means预分类与带约束的DTW算法,提升了识别效率。实验结果表明,系统在多种环境下表现出良好的鲁棒性和实时性,为聋哑人通信提供了低成本解决方案,并可拓展至医疗康复、工业控制等领域。
摘要:神经机器翻译模型高度依赖大规模的双语标注数据,导致在低资源场景下加剧了数据稀疏问题。针对这一问题,文中提出了一种基于主动学习的优化策略GTAL,通过构建初始标注样本,结合模型对预测词的概率分布,设计针对性的选择函数继续筛选样本,以达到减少数据标注需求并提升数据质量的目的,进而加速模型对语言映射关系的捕捉。实验结果表明,在使用少量数据的情况下,新提出的主动学习策略与不同基准方法对比,在BLEU、chrF、BLEURT和TER评价指标上分别提升了 9.43% 、 5.16% 、 4.71% 和 0.8% ,有效提升了模型翻译的准确性。
摘要:图像拼接技术广泛应用于医学影像、安防监控等领域,但拼接效果往往因图像间色调与亮度等差异受到影响。为了降低图像拼接过程中出现的色彩差异问题,文中提出了一种结合Lab和HSV色彩空间的方法,利用两幅图像重叠区域的图像色彩信息来实现图像色彩校正。该方法首先利用Lab色彩空间的a通道和b通道,对图像进行偏色校正,随后利用HSV色彩空间的H通道和V通道对图像的色调与亮度进行平衡,最终实现整体图像的校正。实验结果表明,该方法可以有效地提升图像拼接的视觉自然度与图像的整体质量,为图像拼接提供了一种可靠的预处理方案。
摘要:针对现有智能家居监控系统成本高、操作复杂且缺乏统一标准的问题,设计了一种基于可编程逻辑控制器(PLC)的智能化、低成本家居监控系统。该系统以西门子PLCS7-200为核心模块,通过系统内部的传感器收集并处理相关信息数据,并将这些数据传输给系统的核心模块,最后在WinCC6.55组态王上的人机交互界面中进行演示操作。本系统以PLC为核心控制模块,结合传感器及人体检测模块,构建硬件采集网络;采用V4.0 STEP7Micro/WIN SP9软件进行梯形图编程,实现数据采集、远程监控、自动/手动控制及异常报警功能,支持温湿度调节、门窗安防及入侵检测。系统软件兼容性强,运行稳定性高。文中创新性地将PLC技术融入家居监控领域,通过模块化设计显著提升系统可靠性与性价比,为智能家居标准化提供了可推广方案,且具备规模化应用潜力,可满足普通家庭对安全、舒适及节能的多元化需求。
摘要:针对非电气化铁路巡检效率低、精度不足的问题,文中提出了一种基于ROS平台与多模态数据融合的无人机巡检系统。通过结合手动检测与自动巡航双模式进行巡检,融合图像数据与点云数据,采用扩散模型与DBSCAN算法进行异常检测,有效提升铁路异常识别的准确性与效率。实验结果表明,系统在复杂环境下能够稳定飞行,实现对钢轨断裂、异物侵入等多类型异常的精准检测,检测精度高,巡检效率较传统方法有较大提升,为非电气化铁路的智能化巡检提供了创新解决方案。
摘要:文中开发了一款深度融合语音识别、物联网通信、环境数据监测与远程控制于一体的智能宠物系统,实现了环境数据的实时监测、远程传输与显示以及语音交互控制。该系统将传统的环境监测系统与云平台相结合,实现了数据的远程访问和管理;引入了语音交互技术,提升了系统的交互性和用户体验。系统采用自适应PID控制与动态表情反馈技术,通过参数自整定PID控制算法,实现舵机角度稳态误差的减小;通过改进游程编码(RLE)压缩算法,达成表情数据3:1的压缩比,以实现高效交互。此外,该系统以智能宠物的形式呈现,不仅增加了趣味性,还使得独居者在心理上得到更多的陪伴和安慰。文中开发的智能宠物系统具有广阔的应用前景和社会价值,能够为独居者提供全方位的居住环境监测和安全管理服务。
摘要:智能网联电动汽车日益兴起,为了解决电动汽车的里程焦虑问题,针对具有复杂地形特征的丘陵道路,研究网联电动汽车经济性巡航速度规划问题。综合考虑电动汽车能量回收系统、制动能量损耗和坡度等环境信息,建立车辆动力学模型,提出一种基于分段式DP的经济性巡航速度规划方法。该方法针对道路各路段特点分段优化,求解车辆在多坡道地形下的经济性速度序列。实验结果表明,基于SDP考虑坡度的经济性巡航速度规划相比定速巡航,能耗减少了 7.99% ,通行时间仅增加 1.01% ;与基于DP的经济性巡航相比,在不牺牲节能率甚至略有提升的情况下,平均速度得到显著提升。
摘要:文中提出了一款基于ESP32-S3的多功能AI桌面机器人,旨在满足个性化需求并应对社会老龄化问题。该机器人集成了语音交互、图像识别、远程操控和多媒体功能,能够通过WiFi连接进行语音对话、天气查询和音乐播放等操作。利用ESP32-S3的无线通信功能结合MQTT协议,机器人可将本地数据上传至云端,并通过小度APP实现对智能家居和音乐播放的远程控制。硬件方面,采用磁吸连接设计,便于拓展和转换应用场景,如切换为遥控小车或便携屏幕。软件方面,基于ESP-SR语音识别框架和OpenCV视觉库实现了语音唤醒、交互、脸部识别及情绪分析等功能,并通过多模态数据处理与云计算的结合,推动人工智能技术在物联网终端设备中的应用。该机器人的设计验证了边缘计算与云计算协同在物联网终端的可行性,模块化设计使功能扩展成本有所降低。未来可结合联邦学习优化多设备协同,为智慧养老场景提供可复制的技术方案。
摘要:针对森林火灾救援中物资投送效率低、危险性高的难题,文中提出一种基于多模态感知的无人机物资精准投送系统,结合高精度定位与自适应投放控制技术,实现了复杂火场环境下的应急救援。系统以Pixhawk 2.4.8飞控为核心,通过QGroundControl地面站预设三维航点路径,实现自主规划路径飞行。通过PX4Flow光流传感器和声呐传感器组成的多源模块与PID算法的结合,实现在火灾上空抗风悬停和稳定飞行姿态。通过高精度智能舵机夹爪,结合高精度GPS模块实现高空精准投放。实验结果表明,无人机物资精准投放系统准确度达到 95% ,提高了森林火灾救援物资快速精准投放的效率。
摘要:为解决老年人用药易漏服错服的问题,文中设计了一种基于物联网的智能药盒系统。该系统以STM32单片机为控制核心,采用小型步进电机实现药仓精准开闭控制,配备按键模块支持手动开仓与上锁操作,通过OLED显示屏实时显示服药信息,结合语音播报模块实现定时服药提醒。系统通过蓝牙模块与手机APP交互完成服药时间、药品信息等参数设置,利用WiFi模块将用药数据上传至云平台实现历史记录追。系统可实现精准用药时间提醒、药品信息溯源、用药记录云端存储与查询功能,定时提醒时间误差≤1s。该智能药盒能有效提升用药安全性与便捷性,为远程健康管理提供硬件支撑,具有较高的实用价值与推广前景。
摘要:农业物联网与智慧农业正在深度融合,但仍存在传感器精度与可靠性不足、网络连接稳定性欠佳、数据易受干扰、成本效益偏低等问题。为此,将信息物理系统(CPS)应用于农业领域,可为农业物联网设备联动控制提供新思路、新手段。文中在调研各国CPS农田应用现实案例的基础上,结合我国农业物联网设备协同的实际情况,构建了CPS驱动农业物联网设备协同控制框架,提出CPS驱动的设备协同控制策略。此框架与策略具有广泛的应用价值,可实现农业设备的智能控制与联动,推动智慧农业从“经验驱动”向“数据驱动”发展,为农业现代化建设提供技术支撑。
摘要:随着汽车保有量的不断增长,停车困难已经成为了一个普遍存在的问题。针对该问题,文中设计了一款数字化实时数据终端采集系统,以快速解决停车场数据分析及处理为应用方向。系统通过终端传感器进行数据采集,将统计结果以无线方式发送到终控端,用于数据共享及信号灯指示;采用Arduino nano开发板、降压模块、超声波模块、RGB指示灯、RS485模块、无线收发模块、OLED显示屏等器件,实现对停车位使用情况的实时统计,并将统计结果传输到显示屏及控制端[11。控制端可通过串口数据观察停车场整体信息和剩余车位信息,通过RGB指示灯颜色变化(红色表示占用、绿色表示闲置)清晰反映每一个车位的具体使用情况,为后续进入停车场的车辆提供精准的停车指引。经实验测试发现,该系统能够帮助人们快速精准找到空闲车位,节省停车时间,为城市交通管理提供有力支持,有助于优化交通布局、提高城市运行效率。
摘要:针对当前运营商营业厅数字化转型中存在的交互体验单一、推荐策略静态化及数据闭环缺失等问题,提出一种基于多模态大语言模型的实时交互式营销服务系统。通过构建多模态意图认知模型、多轮对话驱动的动态推荐引擎及营销服务融合体系,实现基于用户动态与静态特征的实时决策优化。系统采用低秩自适应微调策略实现领域知识高效注入,通过加权特征融合机制平衡历史数据与实时交互信息,并基于双塔模型架构完成产品匹配度计算与产品动态权重调整。研究成果为运营商营业厅智能化转型提供了一种创新性解决方案,显著提升了客户服务体验与营销效能。
摘要:传统的水果质量分类方法依赖于人工检测,存在劳动强度大、主观性强且易受环境影响等问题。文中提出了一种基于多模态数据的水果质量分类算法,该算法通过融合一维近红外光谱(NIRS)数据与利用格拉姆角场(GASF)方法生成的二维光谱GASF图像数据,增强了特征表示的丰富性,从而提高了分类精度。文中设计了一种轻量级卷积神经网络(LightweightCNN_1d)用于提取一维NIRS数据的特征,同时采用SpecGASFNet(改进的EfficientNetV2)对光谱GASF图像进行特征提取。所提出的多模态模型在三个公共水果数据集上的分类准确率约为 90% 。实验结果表明,与传统方法和单模态模型相比,该模型在分类准确率和泛化能力方面均表现出色,为水果质量检测提供了一种高效、非破坏性、低成本的解决方案,有助于现代农业质量控制并保障市场水果质量。
摘要:为克服蜣螂优化算法(DBO)在解决复杂优化问题时难以跳出局部最优、全局搜索能力较弱、以及收敛速度较慢会增加计算成本等问题,文中提出了一种多策略改进的蜣螂优化算法(TDBO)。首先,通过结合反向学习机制与Sobol序列生成初始种群,增强种群多样性;其次,在蜣螂繁殖阶段引入了螺旋搜索技术,旨在避免算法过早地陷入局部最优解;同时,在执行偷窃行为时采用了Levy飞行策略,以进一步扩大搜索空间。此外,随着选代过程的发展,在算法后期加入自适应t分布变异策略,对种群实施动态调整,从而提高算法的整体探索能力和开发效率。实验结果显示,相较于其他几种优化算法,TDBO不仅能够实现更高的收敛精度,且在寻找全局最优解方面也具有更优异的表现。
摘要:针对分数阶受控自回归自回归(CARAR)模型的参数辨识问题,提出了一种柯西-自适应权重樽海鞘算法,旨在降低辨识误差,提高辨识精度。通过结合柯西变异和贪心选择来改进领导者更新过程,并在跟随者更新过程中加入自适应权重策略,能够更好地提高原樽海鞘算法的全局探索能力和局部开发能力,避免算法过早陷入局部最优。根据Grunwald-Letnikov分数阶微积分定义,推导了分数阶CARAR模型的参数表达式,并分别将原樽海鞘算法和柯西-自适应权重樽海鞘算法用于分数阶CARAR模型的参数辨识。仿真结果表明,柯西-自适应权重樽海鞘算法在辨识分数阶CARAR模型时具有更高的辨识精度和更快的收敛速度。
摘要:近年来,随着物联网技术的迅猛发展,导致很多气象监测系统不断产生大量实时数据。传统的云计算技术无法满足大数据量、高实时性应用的需求。为了有效处理和存储这些数据,文中构建了一套基于物联网技术的全面天气预报系统模型,提出了一种三级体系结构,该结构结合了边缘计算、流处理和层次化存储技术,以解决海量数据快速获取、实时分析和长时间存储的优化问题,实现了从云计算中心到各个节点间高并发访问的高效数据传输以及分布式存储管理。在系统可用性达到 99.94% 的情况下,查询速度提升了 82% ,且大幅减少了数据传输成本。
摘要:随着农业现代化进程的推进,智能化管理系统在农业中的应用越来越广泛。基于STC89C52单片机的智能农业灌溉系统旨在结合人工智能(AI)和物联网(IOT)技术,实现精准、高效、自动化的灌溉控制,通过智能感知和数据处理优化灌溉过程,提升水资源利用率。该系统以STC89C52单片机作为核心控制单元,结合土壤湿度传感器、温湿度传感器和流量传感器,实时监测土壤湿度、空气温湿度等环境参数。根据设定的阈值,通过模糊控制算法调整灌溉控制策略,自动控制灌溉设备的开关,确保作物在不同生长阶段得到合适的水分供应。同时,系统支持手动与自动两种模式,用户可根据需要切换控制方式。该智能农业灌溉系统在土壤湿度传感器精度提升、模糊控制算法优化、系统与多源数据集成等方面成效显著,不仅能够节省水资源,减少人工成本,还能提高农业生产效率,为农业生产的智能化与可持续发展提供了有效的解决方案。
摘要:文中针对现有照明设备存在的能耗高、调控方式单一等问题,构建了基于分层架构的智能照明系统解决方案,在技术路径上突破了传统集中式控制的局限性。通过嵌入式网关实现多协议转换,有效整合了ZigBee无线传感网络与WiFi通信模块,开发了基于模糊控制的自适应调光算法,利用MQTT协议进行云端交互调配。实验结果表明,该系统综合节能效率较改造前提升显著,为传统照明系统的智能化改造提供了可行路径;同时预留Modbus/TCP接口便于大型楼宇接入,为智慧城市基础设施建设提供标准化节点,该系统在教育领域及大型公司节能领域具有一定的推广价值。
摘要:针对传统农药喷洒方式存在的效率低、农药残留超标以及施药人员易受农药侵害等问题,研制了一种基于图像处理技术的智能施药小车,以提高草莓病虫害识别精度,实现精准施药。该产品采用Nano开发板和STM32开发板,结合图像处理技术,实现草莓病虫害的早期识别,能够精准判断病害类别及危害程度,并控制自动施药装置进行定点喷洒,从而减少农药使用量,提高施药效率和安全性。实验结果表明,此施药小车能够高效识别草莓的病虫害症状,提高施药的精准度;相较于传统手动喷洒方式,不仅降低了农药的使用量和环境污染风险,还减轻了果农的劳动强度,提升了草莓种植的智能化水平。此智能施药小车符合现代农业智能化的发展趋势,尤其适用于城市近郊休闲采摘园等高效农业模式,可推广应用于草莓及其他经济作物的病虫害防治,提高农作业效率并保障人身安全。
摘要:随着“互联网 + 教育”技术的快速发展,线上实验教学模式研究已成为推动高校实验教学改革的重要突破口。为解决传统实验教学模式的时空限制问题,研究了线上教学模式,明确电工电子技术实验不仅能够帮助学生深入理解电路理论知识,更能有效提升其实践创新能力和工程素养。文中以智慧线上实验平台ELF-BOX为研究对象,深入分析了其系统架构设计,并以模拟比较器实验为例,详细阐述了线上实验系统的操作流程。研究结果表明,基于“互联网+硬件实验”的线上教学系统能够显著提升教学效率,增强学生的实践操作能力,为电工电子技术实验教学的创新发展提供了新的思路和实践路径。
摘要:中职学校作为技能型人才培养的重要力量,在培养物联网项目实施、运维、售后等应用型人才方面具有较强的基础和优势。文中结合新疆伊犁区域产业升级对物联网应用型人才的需求,分析面向产业的中职物联网应用型人才的培养目标中所涉及的知识、能力和素质目标,以及相关目标与不同物联网应用专业岗位的融合情况等内容。同时,以中职物联网应用技术专业学生的职业能力成长过程为线索,以物联网课程之间的衔接需求为基础,讨论了该专业课程体系构建的依据和方法,为中职建设物联网应用技术专业提供了有效参考。
摘要:为了满足新质生产力发展对高素质物联网技术技能人才的需求,解决物联网应用技术专业人才培养与岗位需求脱节、实践能力薄弱的问题,提出了“四阶四双、六技六步”产教融合人才培养模式,通过产业调研与岗位能力分析,构建了以“平台 + 模块”为架构的课程体系。该体系以“岗课赛证训创”综合育人为核心,将新技术动态融入教学,旨在培养掌握物联网专业知识,具备物联网设备安装配置与调试、系统运行维护与管理、软硬件应用开发等核心能力,并兼具数字素养、创新思维与工匠精神的高素质技能人才,为职业教育物联网应用技术专业的数字化转型与内涵建设提供可资借鉴的实践路径。
摘要:“新工科”背景下,针对C语言程序设计课程中知识碎片化、工程实践薄弱的痛点,文中构建了"BOPPPS + CDIO”双模融合教学体系,通过校企共建工业级代码规范库、产教融合开发套件及双师型课堂实现三层资源渗透。结合AI代码审查、虚拟仿真等数智技术驱动教学场景创新,并以“做中学”路径强化硬件在环测试、团队协作与文档规范能力。实践结果表明,学生代码缺陷率降低 52% ,工程文档规范性评分提升至4.2/5.0,省级竞赛获奖率提高 40% ,有效验证了所提教学模式与产业需求的适配性。
摘要:物联网技术的快速发展对“通信原理”课程的教学提出了新的要求,传统的教学模式难以满足物联网专业学生的实践能力和创新能力培养需求。文中提出了一种基于项目驱动的教学模式,探讨其在“通信原理”课程中的应用。通过设计与物联网相关的实际项目,将理论知识与实践相结合,提升学生的学习兴趣、实践能力和创新能力。文中给出了优化教学内容、创新教学方法、加强实践环节等具体措施,旨在提高课程的教学效果和学生的综合素质。